Toggle navigation
点码成金编程
F.A.Qs
ProblemSet
Source/Category
Status
Ranklist
Contest
Blog
Login
Home
=>
ProblemSet
=> 4.1-36:C++简单词法分析器
Problem2169--4.1-36:C++简单词法分析器
2169: 4.1-36:C++简单词法分析器
Time Limit:
1
Sec
Memory Limit:
128 MB
Submit:
0
Solved:
0
[
Submit
] [
Status
] [ Creator:
][ 参考程序 ]
Description
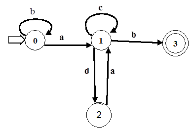
按照如图所示DFA简单词法分析器,判断输入内容是否合法,如果不合法输出对应不合法类型
Input
输入一个字符串。长度<=100
合法字符为:a b c d
Output
如果合法,
输出所有合法单词并
输出 3;
如果有非法字符,输出 0;
如果字符不存在转移规则,输出 1;
如果最后一个词不完整,输出 2;
Sample Input
Copy
bacbacdabbaccb
Sample Output
Copy
bacb acdab baccb 3
HINT
样例二:
输入:
abaxab
输出:
0
样例三:
输入:
abaaba
输出:
1
样例四:
输入:
aba
输出:
2
Source/Category
自动机