Home => ProblemSet => 101.2024-03:悲哀(Sorrow)
Problem2156--101.2024-03:悲哀(Sorrow)

2156: 101.2024-03:悲哀(Sorrow)

Time Limit: 1 Sec  Memory Limit: 512 MB  Submit: 0  Solved: 0
[ Submit ] [ Status ] [ Creator: ][ 参考程序 ]

Description

给出一棵有 n 个节点且以 1 为根节点的树,每个节点有两个权值 ai,bi(1≤i≤n)。ai 已经给出,bi 初始为 0。
现在对于每一对节点 (u,v)(1≤u<v≤n),设 x=LCA(u,v),如果 gcd(au,av)>1 那么 bx←bx+au×av,否则不做任何操作。
对于每个 1≤i≤n 求出 bi mod 998244353。

Input

第一行一个整数 n,表示有 n 个节点。
第二行 n 个正整数,表示 a1,a2…an
接下来 n−1 行,每行两个正整数 u,v,表示节点 u 和节点 v 之间有一条边。

Output

输出共 n 行,每行一个整数。
第 i 行表示 bi 对 998244353 取模后的结果。

Sample Input Copy

8
3 7 2 2 2 3 72 24 
1 2
1 3
1 4
4 5
2 6
5 7
4 8

Sample Output Copy

785
0
0
1972
144
0
0
0

HINT

样例二:
输入:
15
73 83 31 9514 1189 43 79 2 2 1798 5063 2 5 2573 53 
1 2
2 3
1 4
4 5
1 6
3 7
5 8
5 9
6 10
7 11
10 12
9 13
7 14
13 15
输出:
23952214
633788
79763
38056
4
0
13027099
0
0
3596
0
0
0
0
0

样例解释:

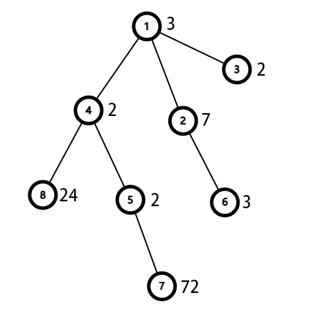
建出的树如图。

有以下贡献:

  • 对 1 号节点:

(3,4) 贡献 4

(3,5) 贡献 4

(3,7) 贡献 144

(3,8) 贡献 48

(1,6) 贡献 9

(1,7) 贡献 216

(1,8) 贡献 72

(6,7) 贡献 216

(6,8) 贡献 72

总共 785

  • 对 4 号节点:

(4,5) 贡献 4

(4,7) 贡献 144

(4,8) 贡献 48

(5,8) 贡献 48

(7,8) 贡献 1728

总共  1972

  • 对 5 号节点:

(5,7) 贡献 144

总共 144

其他节点显然都为 0

Source/Category