Home => ProblemSet => 2.12-98:[SBCOI2020] 时光的流逝
Problem2094--2.12-98:[SBCOI2020] 时光的流逝

2094: 2.12-98:[SBCOI2020] 时光的流逝

Time Limit: 2 Sec  Memory Limit: 500 MB  Submit: 0  Solved: 0
[ Submit ] [ Status ] [ Creator: ][ 参考程序 ]

Description

这个游戏是在一个有向图(不保证无环)上进行的。每轮游戏开始前,她们先在图上选定一个起点和一个终点,并在起点处放上一枚棋子。
然后两人轮流移动棋子,每次可以将棋子按照有向图的方向移动至相邻的点。
如果谁先将棋子移动至终点,那么谁就胜利了。同样,如果谁无法移动了,那么谁就失败了。
两人轮流操作,请问,他们是否有必胜策略呢?
答案为一个整数 0 或 1 或 -1,其中 1 表示(先手)有必胜策略,-1 表示后手有必胜策略,0 表示两人均无必胜策略。

Input

第1行有三个整数 n,m,q ,表示图上有 n 个点, m 条边,一共进行 q 轮游戏。
接下来 m 行,每行输入两个数 ui,vi ,表示 ui 到 vi 有一条边。
接下来 q 行,每行两个数 x,y ,表示每轮操作的起点和终点。数据保证起点,终点不同

Output

对于每轮游戏,仅输出一个整数 0 或 1 或 -1,其中 1 表示先手有必胜策略,-1 表示后手有必胜策略,0 表示两人均无必胜策略。

Sample Input Copy

7 7 1
1 2
2 3
3 4
4 5
3 6
7 5
6 7
1 5

Sample Output Copy

1

HINT

样例二:
输入:
5 5 2
1 2
2 3
3 1
3 4
4 5
1 5
4 3
输出:
0
1


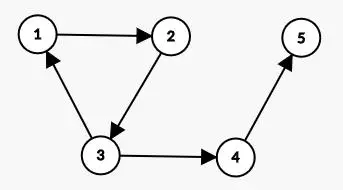
样例一解释:

为描述题意,假设两人为 A(先手)和 B

如图,A 先走,走到 2,B 走到 3,接下去 A 可以选择走到 4 或 6,若走到 4,接下去 B 可以走到终点,故不可取。若选择走到 6,那么 B 只能走到 7,A 可以走到终点。所以 A 有必胜策略。
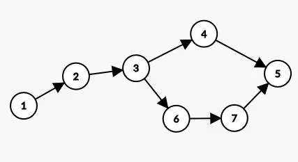
样例二解释:

如图,起点为 11,终点为 55 时, A 和 B 会沿着 1−2−3−11231 的顺序轮流走。因为如果谁先走到 44,那么下一个人就可以走到终点。故谁都没有必胜策略。

起点为 44,终点为 33 时,A 先走到 55,B 无路可走,故 B 失败。

数据范围

对于 10% 的数据,保证图是一条链。

对于 50% 的数据,1n1031m2×1031q10

对于 70% 的数据,1n1051m2×1051q10

对于 100% 的数据,1n1051m5×1051q500

Source/Category