Home => ProblemSet => 3.2-29:[NOI2015] 软件包管理器
Problem1948--3.2-29:[NOI2015] 软件包管理器

1948: 3.2-29:[NOI2015] 软件包管理器

Time Limit: 1 Sec  Memory Limit: 128 MB  Submit: 0  Solved: 3
[ Submit ] [ Status ] [ Creator: ][ 参考程序 ]

Description

Linux 用户和 OSX 用户一定对软件包管理器不会陌生。通过软件包管理器,你可以通过一行命令安装某一个软件包,然后软件包管理器会帮助你从软件源下载软件包,同时自动解决所有的依赖(即下载安装这个软件包的安装所依赖的其它软件包),完成所有的配置。Debian/Ubuntu 使用的 apt-get,Fedora/CentOS 使用的 yum,以及 OSX 下可用的 homebrew 都是优秀的软件包管理器。


你决定设计你自己的软件包管理器。不可避免地,你要解决软件包之间的依赖问题。如果软件包 a 依赖软件包 b,那么安装软件包 a 以前,必须先安装软件包 b。同时,如果想要卸载软件包 b,则必须卸载软件包 a。
现在你已经获得了所有的软件包之间的依赖关系。而且,由于你之前的工作,除 0 号软件包以外,在你的管理器当中的软件包都会依赖一个且仅一个软件包,而 0 号软件包不依赖任何一个软件包。且依赖关系不存在环(即不会存在 m 个软件包 a1,a2,…,am,对于 i<m,ai 依赖 ai+1,而 am 依赖 a1 的情况)。
现在你要为你的软件包管理器写一个依赖解决程序。根据反馈,用户希望在安装和卸载某个软件包时,快速地知道这个操作实际上会改变多少个软件包的安装状态(即安装操作会安装多少个未安装的软件包,或卸载操作会卸载多少个已安装的软件包),你的任务就是实现这个部分。
注意,安装一个已安装的软件包,或卸载一个未安装的软件包,都不会改变任何软件包的安装状态,即在此情况下,改变安装状态的软件包数为 0。


Input

第一行一个正整数 n,表示软件包个数,从 0 开始编号。
第二行有 n−1 个整数,第 i 个表示 i 号软件包依赖的软件包编号。
然后一行一个正整数 q,表示操作个数,格式如下:
  • install x 表示安装 x 号软件包
  • uninstall x 表示卸载 x 号软件包
一开始所有软件包都是未安装的。
对于每个操作,你需要输出这步操作会改变多少个软件包的安装状态,随后应用这个操作(即改变你维护的安装状态)。

Output

输出 q 行,每行一个整数,表示每次询问的答案。

Sample Input Copy

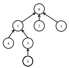
7
0 0 0 1 1 5
5
install 5
install 6
uninstall 1
install 4
uninstall 0

Sample Output Copy

3
1
3
2
3

HINT

样例二:
输入:
10
0 1 2 1 3 0 0 3 2
10
install 0
install 3
uninstall 2
install 7
install 5
install 9
uninstall 9
install 4
install 1
install 9

输出:
1
3
2
1
3
1
1
1
0
1


样例解释:



一开始所有软件包都处于未安装状态。
安装 5 号软件包,需要安装 0,1,5 三个软件包。
之后安装 6 号软件包,只需要安装 6 号软件包。此时安装了 0,1,5,6 四个软件包。
卸载 1 号软件包需要卸载 1,5,6 三个软件包。此时只有 0 号软件包还处于安装状态。
之后安装 4 号软件包,需要安装 1,4 两个软件包。此时 0,1,4 处在安装状态。最后,卸载 0 号软件包会卸载所有的软件包。






Source/Category