Home => ProblemSet => 5.1-31:[NOI2011] 道路修建
Problem1880--5.1-31:[NOI2011] 道路修建

1880: 5.1-31:[NOI2011] 道路修建

Time Limit: 2 Sec  Memory Limit: 256 MB  Submit: 0  Solved: 2
[ Submit ] [ Status ] [ Creator: ][ 参考程序 ]

Description

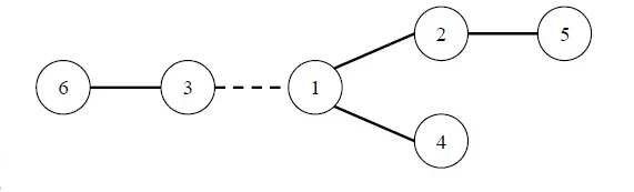
在 W 星球上有 n 个国家。为了各自国家的经济发展,他们决定在各个国家之间建设双向道路使得国家之间连通。但是每个国家的国王都很吝啬,他们只愿意修建恰好 n−1 条双向道路。
每条道路的修建都要付出一定的费用,这个费用等于道路长度乘以道路两端 的国家个数之差的绝对值。例如,在下图中,虚线所示道路两端分别有 2 个、4 个国家,如果该道路长度为 1,则费用为 1×∣2−4∣=2。图中圆圈里的数字表示国家的编号。

由于国家的数量十分庞大,道路的建造方案有很多种,同时每种方案的修建费用难以用人工计算,国王们决定找人设计一个软件,对于给定的建造方案,计算出所需要的费用。请你帮助国王们设计一个这样的软件。

Input

输入的第一行包含一个整数 n,表示 W 星球上的国家的数量,国家从 1 到 n 编号。
接下来 n–1 行描述道路建设情况,其中第 i 行包含三个整数 ai,bi 和 ci,表示第 i 条双向道路修建在 ai 与 bi 两个国家之间,长度为  ci。

Output

输出一个整数,表示修建所有道路所需要的总费用。

Sample Input Copy

6
1 2 1
1 3 1
1 4 2
6 3 1
5 2 1

Sample Output Copy

20

HINT

对于 100% 的数据, 1≤ai,bi≤n, 0≤ci≤106,2≤n≤106

Source/Category

  DFS