Toggle navigation
点码成金编程
F.A.Qs
ProblemSet
Source/Category
Status
Ranklist
Contest
Blog
Login
Home
=>
ProblemSet
=> 7.1-07:二叉树中的最大路径和
Problem1409--7.1-07:二叉树中的最大路径和
1409: 7.1-07:二叉树中的最大路径和
Time Limit:
1
Sec
Memory Limit:
128 MB
Submit:
0
Solved:
0
[
Submit
] [
Status
] [ Creator:
][ 参考程序 ]
Description
路径 被定义为一条从树中任意节点出发,沿父节点-子节点连接,达到任意节点的序列。同一个节点在一条路径序列中 至多出现一次 。该路径 至少包含一个 节点,且不一定经过根节点。
路径和 是路径中各节点值的总和。
给你一个二叉树的根节点 root ,返回其 最大路径和 。
Input
第一行一个整数n,表示结点数
第二行n个数,空格分隔
Output
一个整数
Sample Input
Copy
3 1 2 3
Sample Output
Copy
6
HINT
样例一解释:
最优路径是 2 -> 1 -> 3 ,路径和为 2 + 1 + 3 = 6样例二:
输入:
7
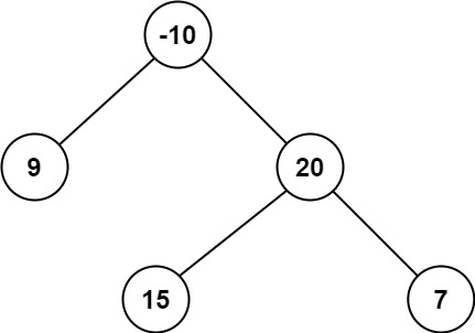
-10 9 20 -1 -1 15 7
输出:
42
解释:
最优路径是 15 -> 20 -> 7 ,路径和为 15 + 20 + 7 = 42
树中节点数目范围是 [1, 3 * 10^4]
-1000 <= Node.val <= 1000
Source/Category
数据结构
树