Home => ProblemSet => 7.1-06:最大二叉树
Problem1408--7.1-06:最大二叉树

1408: 7.1-06:最大二叉树

Time Limit: 1 Sec  Memory Limit: 128 MB  Submit: 0  Solved: 0
[ Submit ] [ Status ] [ Creator: ][ 参考程序 ]

Description

给定一个不含重复元素的整数数组 nums 。一个以此数组直接递归构建的 最大二叉树 定义如下:

二叉树的根是数组 nums 中的最大元素。
左子树是通过数组中 最大值左边部分 递归构造出的最大二叉树。
右子树是通过数组中 最大值右边部分 递归构造出的最大二叉树。
返回有给定数组 nums 构建的 最大二叉树 。


Input

第一行一个整数n,表示结点数
第二行n个数空格分隔,表示各个结点

Output

一行n个数,空格分隔。非结点用-1表示

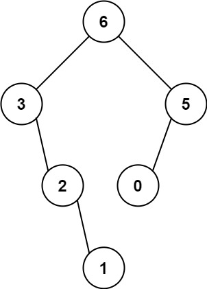
Sample Input Copy

6
3 2 1 6 0 5

Sample Output Copy

6 3 5 -1 2 0 -1 -1 1

HINT

样例一解释:

递归调用如下所示:
- [3,2,1,6,0,5] 中的最大值是 6 ,左边部分是 [3,2,1] ,右边部分是 [0,5] 。
    - [3,2,1] 中的最大值是 3 ,左边部分是 [] ,右边部分是 [2,1] 。
        - 空数组,无子节点。
        - [2,1] 中的最大值是 2 ,左边部分是 [] ,右边部分是 [1] 。
            - 空数组,无子节点。
            - 只有一个元素,所以子节点是一个值为 1 的节点。
    - [0,5] 中的最大值是 5 ,左边部分是 [0] ,右边部分是 [] 。
        - 只有一个元素,所以子节点是一个值为 0 的节点。
        - 空数组,无子节点。


样例二:





  • 1 <= nums.length <= 1000
  • 0 <= nums[i] <= 1000
  • nums 中的所有整数 互不相同


Source/Category