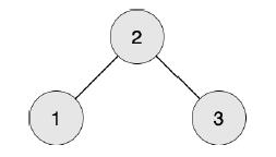
样例一解释:
编号为
1
的工人想生产第
1
阶段的零件,需要编号为
2
的工人提供原材料。
编号为
2
的工人想生产第
1
阶段的零件,需要编号为
1
和 3 的工人提供原材料。
编号为
3
的工人想生产第
1
阶段的零件,需要编号为
2
的工人提供原材料。
编号为
1
的工人想生产第
2
阶段的零件,需要编号为
2
的工人生产第 1 阶段的零件,需要编号为 1 和 3 的工人提供原材料。
编号为 2 的工人想生产第 2 阶段的零件,需要编号为 1 和 3 的工人生产第 1 阶段的零件,他/她们都需要编号为 2 的工人提供原材料。
编号为 3 的工人想生产第 2 阶段的零件,需要编号为 2 的工人生产第 1 阶段的零件,需要编号为 1 和 3 的工人提供原材料。
样例二:
输入:
5 5 5
1 2
2 3
3 4
4 5
1 5
1 1
1 2
1 3
1 4
1 5
输出:
No
Yes
No
Yes
Yes
样例二解释:

编号为 1 的工人想生产第 1 阶段的零件,需要编号为 2 和 5 的工人提供原材料。 编号为 1 的工人想生产第 2 阶段的零件,需要编号为 2 和 5 的工人生产第 1 阶段的零件,需要编号为 1,3,4 的工人提供原材料。
编号为 1 的工人想生产第 3 阶段的零件,需要编号为 2 和 5 的工人生产第 2 阶段的零件,需要编号为 1,3,4 的工人生产第 1 阶段的零件,需要编号为 2,3,4,5 的工人提供原材料。
编号为 1 的工人想生产第 4 阶段的零件,需要编号为 2 和 5 的工人生产第 3 阶段 的零件,需要编号为 1,3,4 的工人生产第 2 阶段的零件,需要编号为 2,3,4,5 的工人生产 第 1 阶段的零件,需要全部工人提供原材料。
编号为 1 的工人想生产第 5 阶段的零件,需要编号为 2 和 5 的工人生产第 4 阶段 的零件,需要编号为 1,3,4 的工人生产第 3 阶段的零件,需要编号为 2,3,4,5 的工人生产 第 2 阶段的零件,需要全部工人生产第 1 阶段的零件,需要全部工人提供原材料。
共 20 个测试点。
1 ≤ u, v, a ≤ n。
测试点 1~4,1 ≤ n, m ≤ 1000,q = 3,L = 1。
测试点 5~8,1 ≤ n, m ≤ 1000,q = 3,1 ≤ L ≤ 10。
测试点 9~12,1 ≤ n, m, L≤ 1000,1 ≤ q ≤ 100。
测试点 13~16,1 ≤ n, m, L ≤ 1000,1 ≤ q ≤ 10^5 。
测试点 17~20,1 ≤ n, m, q ≤ 10^5 ,1 ≤ L ≤ 10^9 。